Memahami Ventrikular Takikardia Dasar Banget
Algoritma Takikardia Dengan Nadi Acls Jantung Oke
Acls Aha 2015 Advanced Cardiac Life Support All About Nurse
Algoritma Takikardia Dengan Nadi Acls Jantung Oke
Algoritma Obat Obat Emergency Cardiovascular Ppt Download
Algoritma Takikardi Dan Bradikardi Docx
Algoritma Takikardi With Pulses Bedah Urologi
Algoritma Takikardi Dan Bradikardi Docx
Supraventricular Tachycardia Svt Pdf Download Gratis
Algoritma Obat Obat Emergency Cardiovascular Ppt Download
Acls Aha 2015 Advanced Cardiac Life Support All About Nurse
Algoritma Takikardia Dengan Nadi Acls Jantung Oke
Ventrikel Takikardi Charles Boru B1 Pdf Download Gratis
Algoritma Takikardia Dengan Nadi Acls 2010
Memahami Ventrikular Takikardia Dasar Banget
Pdf Algoritma Acls Perki Angga Perdana Academia Edu
Acls Aha 2015 Advanced Cardiac Life Support All About Nurse
Https Encrypted Tbn0 Gstatic Com Images Q Tbn And9gcsafo4qzscc2eh8bxxg2ahsher Twb9kcmeax Lbraxiplomrvh Usqp Cau
Algoritma Obat Obat Emergency Cardiovascular Ppt Download
Penatalaksanaan Supraventricular Tachycardia Alomedika
Rahmi Algoritma Takikardi Dan Bradikardi Aha 2015
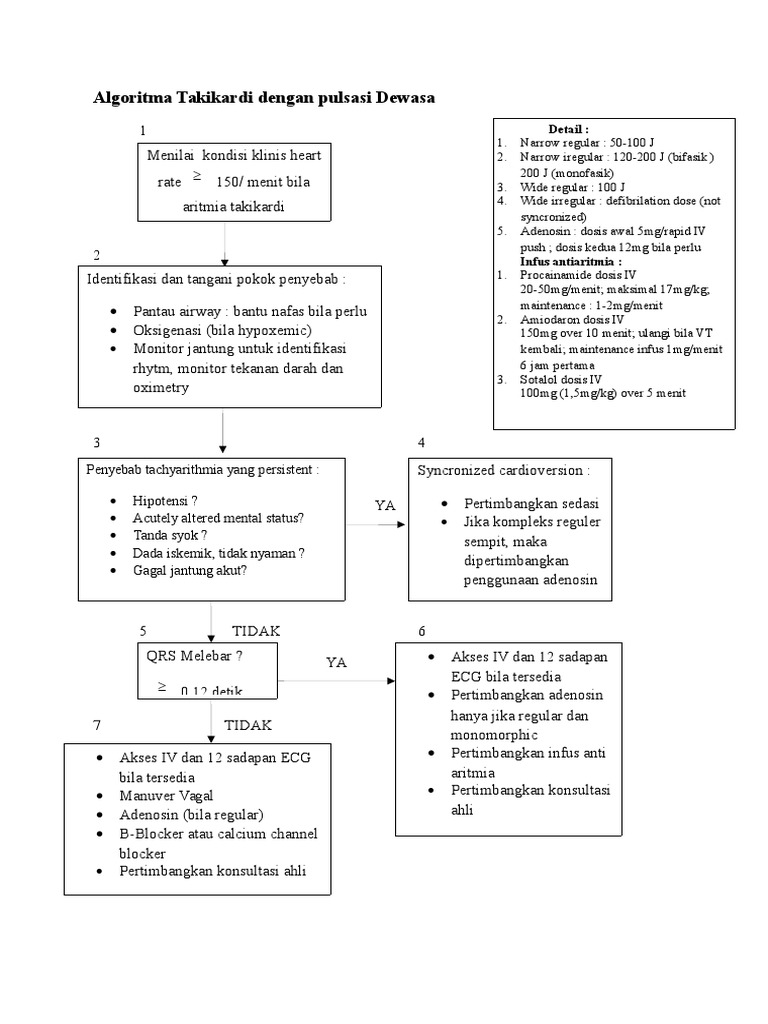
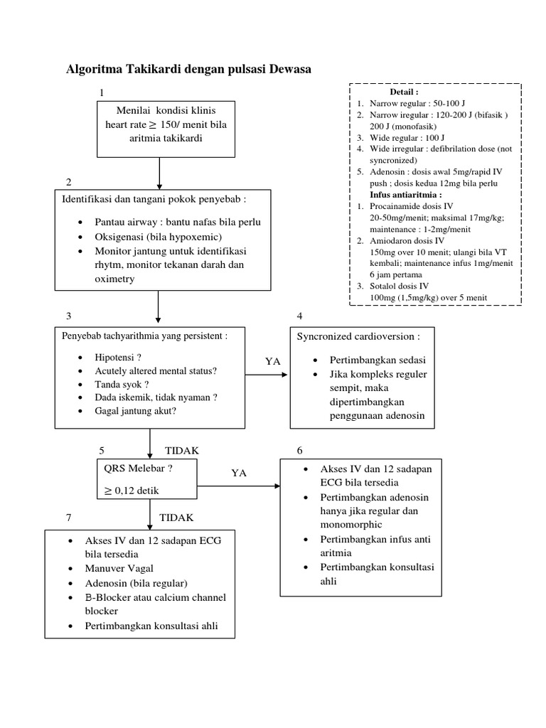
Algoritma Takikardi Docx Algoritma Takikardi Nilai Kesesuaian Dengan Kondisi Pasien Denyut Jantung 150 X Menit Jika Takiaritmia Identifikasi Dan Course Hero
Https Www Ijconline Id Index Php Ijc Article Download 734 450
Medical Articles September 2013
Https Cpr Heart Org Media Cpr Files Cpr Guidelines Files Highlights Hghlghts 2020eccguidelines Indonesian Pdf
Https Www Rsi Co Id Download Download 60 E886b932a11a34399672178f1fb84932
Https Cpr Heart Org Media Cpr Files Cpr Guidelines Files Highlights Hghlghts 2020eccguidelines Indonesian Pdf
Rahmi Algoritma Takikardi Dan Bradikardi Aha 2015
Atrial Fibrilasi Af Gejala Diagnosis Dan Tatalaksana Kedokteran Caiherang
Rahmi Algoritma Takikardi Dan Bradikardi Aha 2015 Z0x23y14vgqn
Kegawatdaruratan Fibrilasi Ventrikel Diagnosis Dan Tatalaksana
Algoritma Takikardia Dengan Nadi Acls 2005
Https Nanopdf Com Download Kuliah Gagal Jantung Akut Pdf
Https Simdos Unud Ac Id Uploads File Penelitian 1 Dir Af014e7457b6eefbf504fc6a03171c2e Pdf
Acls Algoritma Tachyaritmia Atrial Flutter Svt Atrial Fibrilasi Vt Vf Ukmppd Kardio Interna Youtube
Algoritma Hipotensi Atau Syok Dan Edema Paru Akut Doc Document
Ventrikel Takikardia Vt Bedahunmuh S Blog
Https Encrypted Tbn0 Gstatic Com Images Q Tbn And9gcsiqbcftjhmo3ikj0gdvr05qdeqlzreex7jpp Qk3vqrxrwmfbt Usqp Cau
Algoritma Bhjl Untuk Takikardi Pdf Document
Https Www Ijconline Id Index Php Ijc Article Download 734 450
Interpretasi Hasil Ekg Secara Digital Dapat Menyebabkan Terjadinya Kesalahan Medis Alomedika
Penanganan Kegawatdaruratan Jantung Takikardi Medicinesia
Acls How To Be Good At It Docnesia Com
Takikardi Instagram Posts Gramho Com
Algoritma Bhjl Untuk Takikardi Ppt
Trivia 114 Henti Jantung Tbm Janar Duta
Https Simdos Unud Ac Id Uploads File Penelitian 1 Dir Dbccb43bda9e0944011eaf045bb7634d Pdf
Algoritma Bhjl Untuk Takikardi Ppt
Https Www Rsi Co Id Download Download 60 E886b932a11a34399672178f1fb84932
Https Cpr Heart Org Media Cpr Files Cpr Guidelines Files Highlights Hghlghts 2020eccguidelines Indonesian Pdf
Http Www Cdkjournal Com Index Php Cdk Article Download 472 260
Trivia 114 Henti Jantung Tbm Janar Duta
Ventrikel Takikardi Charles Boru B1 Pdf Download Gratis
Http Www Jurnaltechne Org Archives 2016152 201615207 Hry Pdf
Rahmi Algoritma Takikardi Dan Bradikardi Aha 2015 Z0x23y14vgqn
Panduan Tatalaksana Reaksi Syok Anafilaksis Halaman 1 Kompasiana Com
Medical Articles September 2013
Penatalaksanaan Fibrilasi Ventrikel Alomedika
Algoritma Tata Laksana Hipotensi Syok Dan Edema Paru Akut Pdf Document
Langkah Sederhana Mengenali Aritmia Letal Di Ekg Monitor Perawat Pintar
Https Encrypted Tbn0 Gstatic Com Images Q Tbn And9gcshjok Ndgtg4joirvhuddpgalgwkgkcblfqdxnmtmvvcyd J5w Usqp Cau
Https Www Ijconline Id Index Php Ijc Article Download 734 450
Http Www Inaheart Org Upload Image Pnpk Skk 2020 Pdf
Algoritma Bhjl Untuk Takikardi Pdf Document
Algoritma Takikardi Docx Algoritma Takikardi Nilai Kesesuaian Dengan Kondisi Pasien Denyut Jantung 150 X Menit Jika Takiaritmia Identifikasi Dan Course Hero
Terapi Farmakologis Supraventrikular Takikardia
Penanganan Kegawatdaruratan Jantung Takikardi Medicinesia
Algoritma Obat Obat Emergency Cardiovascular Ppt Download
Https Simdos Unud Ac Id Uploads File Penelitian 1 Dir Af014e7457b6eefbf504fc6a03171c2e Pdf
Pin Oleh Surya Beiti Di Disease Tanda Gagal Ikan
Http Www Inaheart Org Upload Image Final Panduan Diagnosis Dan Tatalaksana Penyakit Kardiovaskular Pada Pandemi Covid 19 Pdf
Https Journal Uhamka Ac Id Index Php Arkavi Article Download 5542 1927
Https Cpr Heart Org Media Cpr Files Cpr Guidelines Files Highlights Hghlghts 2020eccguidelines Indonesian Pdf
Http Www Cdkjournal Com Index Php Cdk Article Download 1140 849
Http Eprints Undip Ac Id 55171 3 Danielle Karen Widjaja 22010113130175 Lap Kti Bab2 Pdf
Https Pdfs Semanticscholar Org 1ff6 3d13017c6f40f84214d23038acf496d22db7 Pdf
Tak Berkategori Laman 4 All About Nurse
Https Edoc Pub Download Supraventrikular Takikardi By Rahmah Pdf Free Html
Http Repo Unsrat Ac Id 1128 3 Dr Starry Kardio Bag 2 Pdf
Langkah Sederhana Mengenali Aritmia Letal Di Ekg Monitor Perawat Pintar
Obat Obat Emergency Cardiovascular Gadar 2 Pdf Document
Https Encrypted Tbn0 Gstatic Com Images Q Tbn And9gcsafo4qzscc2eh8bxxg2ahsher Twb9kcmeax Lbraxiplomrvh Usqp Cau
Http Eprints Undip Ac Id 72292 3 Bab Ii Pdf
Medical Articles September 2013
Penanganan Kegawatdaruratan Jantung Takikardi Medicinesia
Penpro Fk Uht Waspadai Hipertensi Kenali Pengobatannya
Reviewed by Media Belajar Online
on
February 17, 2021
Rating:













No comments: